Долбоор
Кыргыз Республикасынын
Улуттук банк Башкармасынын
2013-жылдын «__»__________ №____
токтому менен бекитилген
Кыргыз Республикасынын Улуттук банкынын Кыргыз Республикасынын мамлекеттик баалуу кагаздары менен репо - операцияларын жүргүзүү тартиби жөнүндө жобо
1. ЖАЛПЫ ЖОБОЛОР
1. Кыргыз Республикасынын Улуттук банкы тарабынан мамлекеттик баалуу кагаздары менен репо-операцияларын жүргүзүү тартиби жөнүндөгү жободо (мындан ары – Жобо), Кыргыз Республикасынын Улуттук банкынын (мындан ары – Улуттук банк) Кыргыз Республикасынын коммерциялык банктары менен (мындан ары - Катышуучу) репо-операцияларын Улуттук банктын автоматташтырылган тоорук системасы (мындан ары – АТС) аркылуу ишке ашыруу тартиби аныкталган.
2. Улуттук банк репо-операцияларын Кыргыз Республикасынын «Кыргыз Республикасынын Улуттук банкы жөнүндө» мыйзамынын 5, 20-статьяларына ылайык жүзөгө ашырат.
3. Улуттук банктын Автоматташтырылган тоорук системасынын иштөө жөнүндөгү жобо (мындан ары – АТС жөнүндөгү жобо) менен бекитилген шарттар жана эрежелер ушул Жобого таасир этет.
4. Улуттук банк репо-операциялардын төмөнкү түрлөрүн ишке ашырат:
· Тике репо;
· Кайтарым репо.
5. Улуттук банкта репо-операцияларын аукциондук негизде ишке ашырат, ошондой эле Акча-кредиттик жөнгө салуу комитетинин чечими боюнча репо-операциялар катталган пайыздык чен боюнча да ишке ашырылышы мүмкүн.
6. Репо-операциялары, банк тутумун улуттук валютадагы ликвиддүлүк менен камсыз кылуу (тике репо) же банк тутумуна үстөк ликвиддүүлүктү алып салуу (кайтарым репо) максатында ишке ашырылат.
7. Ушул Жобонун 16-пунктунун талаптарына жооп берген коммерциялык банктар репо-операцияларынын Катышуучулары болуп саналышат, ошондой эле Улуттук банк Башкармасынын чечими боюнча репо-операцияларына республиканын финансы рыногунун башка катышуучулары да катышууга уруксат берилиши мүмкүн.
8. Катышуучунун Улуттук банк менен репо-операциялары боюнча өз ара мамилеси ушул Жобо жана ушул Жобого карата 1-тиркемеге ылайык, Улуттук банк менен Катышуучу ортосунда репо-операцияларды жүргүзүү тартиби жөнүндө эки тараптуу Келишимге ылайык (мындан ары-Келишим) жөнгө салынат.
2. АНЫКТАМАЛАР ЖАНА АТООЛОР
Төмөнкүдөй көрсөтүлгөн аныктамалар жана атоолордон бөлөк, АТС жөнүндөгү жобо менен аныкталган аныктамалар жана атоолор таасир этет:
9. Репо-операцияларды ишке ашыруу күнү – репо-операциялардын натыйжалары кабыл алынган, иштелип чыккан жана жарыяланган, репо-операцияларынын параметрлеринде Улуттук банк тарабынан жарыяланган күн.
10. Репо-операциялары аткарылган күнү – акча каражаттарын эсептен алып салуу/чегерүү аркылуу мамлекеттик баалуу кагаздарды айкын сатып алуу/сатуу (мындан ары - репо-операцияларынын баштапкы бөлүгү) жана баалуу кагаздарга менчик укугу өткөрүлүп берилген репо-операцияларынын параметрлеринде Улуттук банк тарабынан жарыяланган күн.
11. Репо-операциялары аяктоо күнү – акча каражаттарынын алдын ала белгиленген суммасын эсептен алып салуу/чегерүү аркылуу мамлекеттик баалуу кагаздарды кайтара сатып алуу/сатуу (мындан ары - репо-операцияларынын жыйынтыктоочу бөлүгү) ишке ашырылган жана баалуу кагаздарга менчик укугу өткөрүлүп берилген, репо-операцияларынын параметрлеринде Улуттук банк тарабынан жарыяланган күн.
12. Кайтарым репо – Улуттук банк тарабынан келечекте белгиленген күнү, алдын ала макулдашылган баа боюнча кайтара сатып алуу милдеттенмеси менен мамлекеттик баалуу кагаздарды Катышуучуга сатуу боюнча операциясы.
13. Тике репо - Улуттук банк тарабынан келечекте белгиленген күнү, алдын ала макулдашылган баа боюнча кайтара сатуу милдеттенмеси менен мамлекеттик баалуу кагаздарды Катышуучудан сатып алуу боюнча операциясы.
14. Репо-операцияларынын мөөнөтү – репо-операцияларын жыйынтыктаган күндү кошо алганда, операциялар аткарылгандан кийинки күндөн тартып календардык күн боюнча эсептелинген мезгил аралыгы.
3. РЕПО-ОПЕРАЦИЯЛАРЫН ЖҮРГҮЗҮҮНҮН ЖАЛПЫ ШАРТТАРЫ
15. Катышуучулардын мамлекеттик баалуу кагаздарды депозитардык эсепке алуу боюнча репо-операцияларын ишке ашыруудагы өз ара мамилеси тиешелүү эки тараптуу келишим менен жөнгө салынат.
16. Репо-операцияларына катышууга мүмкүндүк алыш үчүн, Катышуучу Улуттук банкка кат түрүндө кайрылуу жиберип, төмөнкү талаптарга жооп бериш керек:
· Улуттук банктын улуттук валютадагы банк операцияларын чектөөсүз ишке ашырууга лицензиясы болсо;
· Улуттук банкта улуттук валютадагы корреспонденттик эсеби болсо;
· Депозитарийде “депо” эсеби болсо;
· Улуттук банк менен түзүлгөн Келишими болсо;
· Кыргыз Республикасынын «Банктарды консервациялоо, жоюу жана банкроттоо жөнүндө» мыйзамында каралган процесстерди (консервациялоо, санациялоо, реабилитациялоо, өз эрки менен жана мажбурлап жоюу, түзүмүн өзгөртүү жана кайра өзгөртүп түзүү) жана/же жол-жоболорду башынан кечирип турбаса.
Кыргыз Республикасынын «Банктарды консервациялоо, жоюу жана банкроттоо жөнүндө» мыйзамында каралган процесстерге жана/же жол-жоболорго кабылбаган Катышуучуларга, Улуттук банк Башкармасынын өзүнчө чечими боюнча репо-операцияларды катышуу үчүн уруксат берилиши мүмкүн.
17. Репо-операцияларына катышуу үчүн негиз болуп, кол коюлган Келишим жана репо-операциясына катышууга тиешелүү негизде тариздетилген жана АТС аркылуу берилген билдирме саналат.
18. Репо-операциясы боюнча сатып алуу/сатуу предмети болуп саналган мамлекеттик баалуу кагаздарга менчикке укук төмөнкү учурларда өткөрүлүп берилет:
· репо-операцияларынын баштапкы бөлүгүнүн аткарылышынын натыйжасында – баштапкы сатуучудан баштапкы сатып алуучуга;
· репо-операциясынын жыйынтыктоочу бөлүгүнүн аткарылышынын натыйжасында – баштапкы сатып алуучудан баштапкы сатуучуга.
19. Улуттук банктын Акча-кредиттик кредит жөнгө салуу комитети төмөнкүдөй шарттарды аныктайт:
Репо-операцияларынын түрлөрүн:
- тике же кайтарым;
Параметрлерин:
- мамлекеттик баалуу кагаздардын түрлөрүн;
- репо-операцияларынын мөөнөттөрүн;
- репо-операциялары боюнча акча каражаттарынын жалпы көлөмүн;
- мамлекеттик баалуу кагаздарды төлөөгө чейинки мөөнөттү (тике репо учурунда);
- тике репо-операциялары учурунда минималдуу пайыздык ченди;
- кайтарым репо-операциялары учурунда максималдуу пайыздык ченди;
- тике/кайтарым репо-операциялары шартында катталган пайыздык ченди.
20. Ушул жобонун 19-пунктунда көрсөтүлгөн репо-операцияларын жүзөгө ашыруу шарттары, Улуттук банк тарабынан АТСтин каражаттары жана өзүнүн веб-сайтында маалыматтык билдирүүлөрдү жайгаштыруу аркылуу жарыяланат.
21. Ишке ашырылган репо-операцияларынын натыйжалары АТСке маалым болуп, ошондой эле веб-сайтына статистикалык маалыматтарды жайгаштыруу аркылуу Улуттук банк тарабынан кулактандырылат.
22. Билдирмелер, Улуттук банк тарабынан жарыяланган репо-операцияларынын шарттарын канааттандырууга тийиш.
23. Улуттук банк тарабынан жарыяланган репо-операциялардын шарттарына ылайык келбеген билдирмелер, АТСте четке кагылат.
24. АТСке билдирмелерди кабыл алуу башталган учур менен аяктаган убакыт ортосунда Катышуучу билдирмеге өзгөртүү киргизип же аны кайтарып алууга укуктуу.
25. Репо-операциялары боюнча билдирмелерди АТСке кабыл алуу убактысы аяктаган учурда, Катышуучулар билдирмелерди бере алышпайт/өзгөртө алышпайт. Билдирмелер кайтарылып алынгыс болуп эсептелинет.
26. Улуттук банк билдирмеде көрсөтүлгөн маалыматтардын купуялуулугун камсыз кылат.
27. Репо шарттарында сатылып алынган мамлекеттик баалуу кагаздар, башка Катышуучуга репо шарттарында сатылышы мүмкүн. Жаңы репо-операциясынын аяктаган күнү, ага чейин ишке ашырылган репо-операцияларынын аяктаган күндөн мурдараак белгиленүүгө тийиш. Бул учурда мамлекеттик баалуу кагазды сатуучу ошол баалуу кагаз боюнча орун алып турган милдеттенмелер тууралуу кат жүзүндө сатып алуучуга маалымдоого милдеттүү.
28. Эгерде, Улуттук банк менен репо-операциялары боюнча келишим түзгөн Катышуучу операциялар аяктаган күнү мамлекеттик баалуу кагаздарды кайтарып бербесе, Улуттук банк аны менен келишим түзгөн күнү айтылган баа боюнча баалуу кагаздарды кайтарып сатып алууга укуктуу.
29. Репо-операцияларын мөөнөтүнөн мурда аяктоого жана узартууга жол берилбейт.
30. Репо-операциялары, ага экиден аз Катышуучу катышкан шартта, Улуттук банк тарабынан өткөрүлбөгөн катары таанылат.
31. Репо – операцияларын өткөзүү регламенти АТС жөнүндөгү жобо менен аныкталат.
32. Репо – операцияларын эсеп жүргүзүү тартиби ушул Жобо жана АТС жөнүндөгү жобо менен аныкталат.
4. РЕПО-ОПЕРАЦИЯЛАРЫН ЖҮРГҮЗҮҮ ТАРТИБИ
33. Тике репо:
· Катышуучу тиешелүү эмиссиясы менен ар бир мөөнөттүүлүк боюнча 5 (бештен) ашпаган билдирмени бере алат. 5 (бештен) көбүрөөк билдирме берилген учурда Катышуучунун кийинки билдирмелери четке кагылат жана кабыл алынбайт.
· Билдирмелердеги мамлекеттик баалуу кагаздардын жалпы көлөмү тиешелүү эмиссиясы менен ошол мөөнөттүүлүк боюнча Улуттук банк тарабынан сатылып алынып жаткан баалуу кагаздардын көлөмүнөн ашпоого тийиш.
· Тике репого жогорку пайыздык чендеги же Улуттук банк жарыялаган минималдуу пайыздык ченге барабар чени менен билдирмелерге жол берилет.
· Тике репо учурунда эң жогорку пайыздык чендерди (Улуттук банк жарыялаган минималдуу пайыздык чендер жогоруну) сунуштаган Катышуучулардын билдирмелери биринчи кезекте канааттандырылат. Ошентип, билдирмелерди канааттандыруу эң чоң пайыздык ченди сунуштагандар боюнча ишке ашырылып, андан ары Улуттук банктын минималдуу пайыздык ченине чейин кемүү тартибинде жүргүзүлөт.
34. Кайтарым репо:
· Катышуучу тиешелүү эмиссиясы менен ар бир мөөнөттүүлүк боюнча 5 (бештен) ашпаган билдирмени бере алат. 5 (бештен) көбүрөөк билдирме берилген учурда Катышуучунун кийинки билдирмелери четке кагылат жана кабыл алынбайт.
· Билдирмелердеги мамлекеттик баалуу кагаздардын жалпы көлөмү тиешелүү эмиссиясы менен ошол мөөнөттүүлүк боюнча Улуттук банк тарабынан сатылып жаткан баалуу кагаздардын көлөмү ашпоого тийиш.
· Кайтарым репого төмөнкү пайыздык чендеги же Улуттук банк жарыялаган максималдуу пайыздык ченге барабар чени менен билдирмелерге жол берилет.
· Кайтарым репо учурунда эң аз пайыздык чендерди (Улуттук банк жарыялаган максималдуу пайыздык ченден төмөн) сунуштаган Катышуучулардын билдирмелери биринчи кезекте канааттандырылат. Ошентип, билдирмелерди канааттандыруу эң аз пайыздык ченди сунуштагандар боюнча ишке ашырылып, андан ары Улуттук банктын максималдуу пайыздык ченине чейин өсүү тартибинде жүргүзүлөт.
35. Катышуучулардын билдирмелеринде сунушталган пайыздык чендер дал келип калган шартта, билдирмелер алардын салыштырма салмагына пропорционалдуу негизде канааттандырылат.
36. АТС эсептөөлөрдү жүргүзүп, репо-операциялар боюнча жыйынтыкты аныктайт. АТС ушул жобого карата 2-тиркемеге ылайык, мамлекеттик баалуу кагаздарды баштапкы сатып алуу жана кайтара сатуу баасын автоматтык түрдө эсептеп чыгат.
37. Катышуучу АТСтеги жумуш ордунда айкын убакыт ыргагында репо - операциялары боюнча билдирмелеринин статусуна тиешелүү маалыматтарды ала алат.
38. АТС төлөмгө каршы төлөмдүн негизинде репо-операциялары боюнча эсептөөлөрдү жүргүзөт.
39. Улуттук валютадагы акча каражаттарын чегерүү жана эсептен алып салуу Катышуучулардын корреспонденттик эсептери жана Улуттук банктын тиешелүү эсеби боюнча АТС аркылуу ишке ашырылат.
40. Катышуучулардын жана Улуттук банктын “депо” эсептери боюнча мамлекеттик баалуу кагаздарды которуу АТСте ишке ашырылат.
5. КАТЫШУУЧУЛАРДЫН УКУКТАРЫ, МИЛДЕТТЕРИ ЖАНА ЖООПКЕРЧИЛИКТЕРИ
41. Катышуучулардын жана Улуттук банктын укуктары менен милдеттери ушул Жобо жана АТС жөнүндөгү жобо менен аныкталат.
42. Катышуучу ушул Жободогу көрсөтүлгөн репо - операцияларын жүргүзүүнүн шарттары менен жана өз милдеттерин аткарбай коюсунан макул болду.
43. Катышуучунун репо - операциялары боюнча милдеттенмелерин аткарбай коюсунан болуп төмөнкүлөр саналат:
Тике репо - операциясы шартында:
· Тике репонун баштапкы бөлүгүн аткаруу учурунда, Катышуучунун “депо” эсебинде тиешелүү сандагы мамлекеттик баалуу кагаз жок болсо;
· Тике репонун жыйынтыктоочу бөлүгүн аткаруу учурунда, Катышуучунун Улуттук банктагы корреспонденттик эсебинде акча каражаттарынын жетиштүү суммасы жок болсо.
Кайтарым репо - операциясы шартында:
· Кайтарым репонун баштапкы бөлүгүн аткаруу учурунда, Катышуучунун Улуттук банктагы корреспонденттик эсебинде акча каражатарынын суммасы жок болсо;
· Кайтарым репонун жыйынтыктоочу бөлүгүн аткаруу учурунда, Катышуучунун “депо” эсебинде тиешелүү сандагы мамлекеттик баалуу кагаз жок болсо.
44. Улуттук банк репо - операциялары боюнча милдеттенмелерин аткарбай коюсунан болуп төмөнкүлөр саналат:
Тике репо - операциясы шартында:
· Тике репонун жыйынтыктоочу бөлүгүн аткаруу учурунда, Улуттук банктын “депо” эсебинде тиешелүү сандагы мамлекеттик баалуу кагаз жок болсо;
Кайтарым репо - операциясы шартында:
· Кайтарым репонун баштапкы бөлүгүн аткаруу учурунда, Улуттук банктын “депо” эсебинде тиешелүү сандагы мамлекеттик баалуу кагаз жок болсо.
45. Эгерде репо – операциясынын баштапкы/ жыйынтыктоочу бөлүгүн ишке ашырууда, Катышуучу өз милдеттенмелерин аткара албай калса, Улуттук банктын репо-операциялары боюнча эсептешүүлөрдүн жүргүзүлүшүнө жооп берген түзүмдүк бөлүмү Катышуучунун Улуттук банкта ачылган корреспонденттик эсебинен репо - операциясынын баштапкы/ жыйынтыктоочу бөлүгүнүн тиешелүү суммасынан 0,5% өлчөмүндөгү бир жолку айыптык төлөмдүн суммасын акцептсиз (талашсыз) тартипте эсептен алып салат.
46. Эгерде, Катышуучунун корреспонденттик эсебинен улуттук валютадагы бир жолку айыптык төлөм суммасын эсептен алып салуу мүмкүн эмес болсо, Улуттук банктын репо - операциялары боюнча эсептешүүлөрдүн жүргүзүлүшү үчүн жооп берген түзүмдүк бөлүмү, Катышуучунун корреспонденттик эсебинен акча каражаттары түшкөн сайын, ушул түзүмдүк бөлүмү бир жолку айыптык төлөм чегерүүнү жүргүзөт.
47. Эгерде, Улуттук банк өз милдеттенмесин аткара албай калган болсо, репо – операциясынын баштапкы/жыйынтыктоочу бөлүгүнүн акча каражаттарынын тиешелүү суммасынан 0,5% өлчөмүндөгү бир жолку айыптык төлөмдү Катышуучунун Улуттук банктагы корреспонденттик эсебине чегерүү аркылуу Улуттук банк Катышуучуга төлөп берет.
6. КОРУТУНДУ ЖОБОЛОР
48. Улуттук банк тарабынан репо-операцияларды ишке ашыруу тартиби ушул Жобо, Келишим жана АТС жөнүндөгү жобо аркылуу жөнгө салынат.
49. Репо-операцияларды жүргүзүү процессин өркүндөтүү максатында, Улуттук банк тарабынан бул жобого өзгөртүүлөр жана толуктоолор киргизилиши мүмкүн.
Кыргыз Республикасынын Улуттук банкынын
Кыргыз Республикасынын мамлекеттик баалуу
кагаздары менен репо - операцияларын жүргүзүү
тартиби жөнүндө Жобого карата 1-тиркеме
2013-жылдын «__»__________ №____
Кыргыз Республикасынын Улуттук банкынын менен
__________________________________________ ортосунда
(коммерциялык Катышуучутын аталышы)
Кыргыз Республикасынын мамлекеттик баалуу кагаздары менен репо - операцияларын жүргүзүү тартиби жөнүндө келишим
Бишкек ш. 20__ж. «___» __________№ _______
Мындан ары «Улуттук банк» деп аталуучу Кыргыз Республикасынын Улуттук банкынын атынан ______________________, _________________________________ негизинде иш алып барган __________________ бир тараптан жана мындан ары Катышуучу деп аталуучу__________________ негизинде иш алып барган ________________________ экинчи тараптан, мындан ары «Тараптар» деп аталуучулар, “Автоматташтырылган тоорук системасы жөнүндө” жобонун (луттук банк Башкармасынын 20__ жылдын ____ №_____ токтому менен бекитилген) жана “Кыргыз Республикасынын Улуттук банкынын Кыргыз Республикасынын мамлекеттик баалуу кагаздары менен репо - операцияларын жүргүзүү тартиби жөнүндө” жобонун негизинде (Улуттук банк Башкармалыгынын 20__ жылдын _________№_____ токтому менен бекитилген) (мындан ары – Жобо) төмөнкүлөр боюнча ушул келишимди (мындан ары – Келишим) түзүштү:
1. КЕЛИШИМ ПРЕДМЕТИ
1.1. Улуттук банк менен Катышуучу ортосунда Кыргыз Республикасынын мамлекеттик баалуу кагаздар менен репо-операцияларын ишке ашырууда келип чыккан укуктук мамилелердин шарттарын жана аларды жөнгө салуу тартибин аныктоо, ушул Келишимдин предмети болуп саналат.
1.2. Ушул Келишимде колдонулган аныктамалар жана атоолор Жободо аныкталган аныктамаларга жана атоолорго окшош.
1.3. Репо-операциялар боюнча эсептешүүлөр, Катышуучунун Улуттук банктагы корреспонденттик жана “депо” эсептери жана Улуттук банктын тиешелүү эсептери боюнча жүзөгө ашырылат.
2. РЕПО-ОПЕРАЦИЯЛАРЫН ЖҮРГҮЗҮҮНҮН ЖАЛПЫ ШАРТТАРЫ
2.1. Репо-операцияларын ишке ашыруу үчүн Жобонун 16-пунктунда көрсөтүлгөн, операциялар ишке ашырылган күнгө карата белгиленген талаптарды аткарууга тийиш.
2.2. Жобонун 19-пунктунда көрсөтүлгөн, репо-операцияларын ишке ашыруучу шарттары, Акча-кредиттик жөнгө салуу комитети тарабынан аныкталып, Улуттук банктын веб-сайтына маалыматтарды жайгаштыруу аркылуу АТСке кулактандырылат.
2.3. Ишке ашырылган репо-операцияларынын натыйжалары Улуттук банк тарабынан расмий сайтына статистикалык маалыматтарды жайгаштыруу аркылуу жана АТСте кулактандырылат.
2.4. Кол коюлган Келишимдин жана тиешелүү негизде тариздетилинген, АТС аркылуу берилген операцияга катышууга билдирменин болушу, репо-операцияга катышуу үчүн негиз болуп саналат.
2.5. Катышуучунун билдирмеси Улуттук банк тарабынан жарыяланган репо-операцияларынын шарттарын канааттандырууга тийиш.
2.6. Берилген билдирме Улуттук банк жарыялаган шарттарга Катышуучунун макулдугун түшүндүрөт.
2.7. Улуттук банк жарыялаган шарттарга жооп бербеген билдирмелер АТСте четке кагылат.
2.8. Катышуучу АТСке билдирмелерди кабыл алуу башталган жана аяктаган мезгил аралыгында билдирмеге өзгөртүү киргизүүгө же аны кайтарып алууга укуктуу.
2.9. АТСте репо-операциялар боюнча билдирмелерди кабыл алуу мөөнөтү аяктагандан кийин Катышуучулар башка билдирмелерди бере алышпайт/аларды өзгөртө алышпайт. Билдирмелер кайтарылып алынгыс катары эсептелинет.
2.10. Улуттук банк билдирмеде көрсөтүлгөн маалыматтардын купуялуулугун камсыз кылат.
2.11. Эгерде, репо-операциясын аткаруу күнү Кыргыз Республикасында жумуш эмес күнгө туура келип калса, анда репо-операциялары кийинки жумуш күнү ишке ашырылат. Мында, репо-операцияларын аяктоо күнү которулбайт жана репо-операцияларынын жыйынтыктоочу бөлүгүнүн акча каражаттарынын суммасы кайрадан эсептелинбейт.
2.12. Эгерде, репо-операциясын аяктоо күнү Кыргыз Республикасында жумуш эмес күнү деп жарыяланса, анда репо-операциялары кийинки жумуш күнү ишке ашырылат. Мында, репо-операциясынын жыйынтыктоочу бөлүгүнүн акча каражаттарынын суммасы кайрадан эсептелинбейт.
2.13. Репо шарттарында сатылып алынган мамлекеттик баалуу кагаздар башка Катышуучуга репо шарттарында сатылышы мүмкүн. Жаңы репо-операциясын аяктаган күн, ага чейин ишке ашырылган репо-операциялары аяктаган күндөн мурдараак белгиленүүгө тийиш. Бул учурда мамлекеттик баалуу кагазды сатуучу ошол баалуу кагаз боюнча орун алып турган милдеттенмелер тууралуу кат жүзүндө сатып алуучуга маалымдоого милдеттүү.
2.14. Улуттук валютадагы акча каражаттарын чегерүү жана эсептен алып салуу Катышуучулардын корреспонденттик эсептери жана Улуттук банктын тиешелүү эсеби боюнча АТС аркылуу ишке ашырылат.
2.15. Катышуучулардын жана Улуттук банктын “депо” эсептери боюнча мамлекеттик баалуу кагаздарды которуу АТСте ишке ашырылат.
2.16. Репо-операцияларын мөөнөтүнөн мурда аяктоого жана узартууга жол берилбейт.
3. РЕПО-ОПЕРАЦИЯЛАРЫ БОЮНЧА ЭСЕПТЕШҮҮЛӨРДҮ ЖҮРГҮЗҮҮ ШАРТТАРЫ
3.1. АТС төлөмгө каршы төлөмдүн негизинде репо-операциялары боюнча эсептөөлөрдү жүргүзөт.
3.2. Тике репо аткарылган күнү, Катышуучунун “депо” эсебинде канааттандырылган билдирмелердин шарттарына ылайык, тиешелүү мамлекеттик баалуу кагаздар болгон болсо, АТС ошол баалуу кагаздарды Катышуучунун “депо” эсебинен Улуттук банктын “депо” эсебине которуп, канааттандырылган билдирмелердин шарттарына ылайык, акча каражаттарынын тиешелүү суммасын Катышуучунун Улуттук банктагы корреспонденттик эсебине чегерет.
3.3. Тике репо аяктаган күнү, АТС Катышуучунун Улуттук банктагы корреспонденттик эсебинен Улуттук банктын тиешелүү эсебине тике репонун жыйынтыктоочу бөлүгүнүн акча каражаттарынын суммасын которот жана Улуттук банктын “депо” эсебинен мамлекеттик баалуу кагаздарды Катышуучунун “депо” эсебине которууну ишке ашырат.
3.4. Кайтарым репо аткарылган күнү, АТС Катышуучунун Улуттук банктагы корреспонденттик эсебинен Катышуучунун канааттандырылган билдирмесинин шарттарына ылайык, акча каражаттарынын суммасын Улуттук банктын тиешелүү эсебине чегерет жана Улуттук банктын “депо” эсебинен Катышуучунун “депо” эсебине баалуу кагаздарды которот.
3.5. Кайтарым репо аяктаган күнү, Катышуучунун “депо” эсебинде тиешелүү мамлекеттик баалуу кагаздар жетиштүү болгон шартта, АТС ошол баалуу кагаздарды Катышуучунун “депо” эсебинен Улуттук банктын “депо” эсебине которуп, кайтарым репонун жыйынтыктоочу бөлүгүнүн акча каражаттарынын суммасын Катышуучунун Улуттук банктагы корреспонденттик эсебине чегерет.
4. ТАРАПТАРДЫН УКУКТАРЫ ЖАНА МИЛДЕТТЕРИ
4.1. Тараптар репо - операцияларын Жобого жана ушул Келишимге ылайык жүргүзүүгө укуктуу.
4.2. Тараптар Жободо жана ушул Келишимде баяндалган репо - операцияларын жүргүзүү шарттарына макул жана бири-биринин алдындагы өз милдеттенмелерин тааныйт.
4.3. Тараптар Жободо жана ушул Келишимде белгиленген репо - операцияларын жүргүзүү шарттарын так сактоого милдеттенет жана репо-операциялар боюнча милдеттенмелерин аткаруудан баш тартышпайт.
4.4. Катышуучу төмөнкүлөргө милдеттенет:
4.4.1. Ушул келишим шарттарын так сактап, билдирмелерди берүүдө бардык зарыл аракеттерди өз учурунда көрүп, келишилген репо-операциялары боюнча милдеттенмелерди аткаруу үчүн корреспонденттик эсебинде акча каражаттарынын тиешелүү суммасынын болушун жана “депо” эсебинде жетиштүү сандагы тиешелүү мамлекеттик баалуу кагаздардын болушун камсыз кылууга милдетүү.
Тике репо шартында:
4.4.2. Тике репо аткарылган күнү репо-операцияларынын баштапкы бөлүгүн аткаруу үчүн “депо” эсебинде тийиштүү сандагы мамлекеттик баалуу кагаздарга ээ болууга.
4.4.3. Тике репо аяктаган күнү корреспонденттик эсепте репо-операцияларынын жыйынтыктоочу бөлүгүн аткаруу үчүн тиешелүү суммадагы акча каражаттарына ээ болууга.
4.4.4. Эгерде, Катышуучунун “депо” эсебинде тике репонун баштапкы бөлүгүн аткаруу үчүн жетиштүү санда тиешелүү мамлекеттик баалуу кагаздар жок болсо, Улуттук банктын репо-операцияларынын жүргүзүлүшүнө жооп берген түзүмдүк бөлүмү Катышуучунун корреспонденттик эсебинен тике репонун баштапкы бөлүгүнүн акча каражаттарынын суммасынан 0,5% өлчөмүндө бир жолку айыптык төлөмдү акцептсиз (талашсыз) тартипте эсептеп алып салат.
4.4.5. Эгерде, Катышуучунун корреспонденттик эсебинде тике репонун жыйынтыктоочу бөлүгүн аткаруу үчүн жетиштүү сандагы акча каражаты жок болсо, Улуттук банктын репо - операцияларынын жүргүзүлүшүнө жооп берген түзүмдүк бөлүмү Катышуучунун корреспонденттик эсебинен тике репонун жыйынтыктоочу бөлүгүнүн акча каражаттарынын суммасынан 0,5% өлчөмүндө бир жолку айыптык төлөмдү эсептеп алып салат.
4.4.6. Эгерде, Катышуучунун корреспонденттик эсебинен улуттук валютадагы бир жолку айыптык төлөм суммасын эсептен алып салуу мүмкүн эмес болсо, Улуттук банктын репо - операциялары боюнча эсептешүүлөрдүн жүргүзүлүшү үчүн жооп берген түзүмдүк бөлүмү, Катышуучунун корреспонденттик эсебинен акча каражаттары түшкөн сайын, ушул түзүмдүк бөлүмү бир жолку айыптык төлөм чегерүүнү жүргүзөт.
Кайтарым репо шартында:
4.4.7. Кайтарым репо аткарылган күнү репо-операцияларынын баштапкы бөлүгүн аткаруу үчүн корреспонденттик эсепте акча каражаттарынын тиешелүү суммасына ээ болсо.
4.4.8. Кайтарым репо аяктаган күнү “депо” эсебинде репо-операцияларынын жыйынтыктоочу бөлүгүн аткаруу үчүн жетиштүү сандагы тиешелүү мамлекеттик баалуу кагаздарга ээ болсо.
4.4.9. Эгерде, Катышуучунун корреспонденттик эсебинде кайтарым репонун баштапкы бөлүгүн аткаруу үчүн жетиштүү сандагы акча каражаты жок болсо, Улуттук банктын репо - операцияларын жүргүзүлүшүнө жооп берген түзүмдүк бөлүмү Катышуучунун корреспонденттик эсебинен кайтарым репонун баштапкы бөлүгүнүн акча каражаттарынын суммасынан 0,5 % өлчөмүндө бир жолку айыптык төлөмдү эсептеп алып салат.
4.4.10. Эгерде, Катышуучунун “депо” эсебинде кайтарым репонун жыйынтыктоочу бөлүгүн аткаруу үчүн жетиштүү санда тиешелүү мамлекеттик баалуу кагаздар жок болсо, Улуттук банктын репо-операцияларынын жүргүзүлүшүнө жооп берген түзүмдүк бөлүмү, Катышуучунун корреспонденттик эсебинен кайтарым репонун жыйынтыктоочу бөлүгүнүн акча каражаттарынын суммасынан 0,5 % өлчөмүндө бир жолку айыптык төлөмдү акцептсиз (талашсыз) тартипте эсептеп алып салат.
4.4.11. Эгерде, Катышуучунун корреспонденттик эсебинен улуттук валютадагы бир жолку айыптык төлөм суммасын эсептен алып салуу мүмкүн эмес болсо, Улуттук банктын репо - операциялары боюнча эсептешүүлөрдүн жүргүзүлүшү үчүн жооп берген түзүмдүк бөлүмү, Катышуучунун корреспонденттик эсебинен акча каражаттары түшкөн сайын, ушул түзүмдүк бөлүмү бир жолку айыптык төлөм чегерүүнү жүргүзөт.
4.5. Улуттук банк төмөнкүлөргө милдеттенет:
4.5.1. Ушул Келишим шарттарын так сактап жана келишилген репо-операциялар боюнча милдеттенмелерди аткаруу үчүн “депо” эсебинде жетиштүү сандагы тиешелүү мамлекеттик баалуу кагаздардын болушун камсыз кылууга милдетүү.
Тике репо шартында:
4.5.2. Тике репо аяктан күнү репо-операцияларынын жыйынтыктоочу бөлүгүн аткаруу үчүн “депо” эсебинде жетиштүү сандагы мамлекеттик баалуу кагаздарга ээ болууга.
4.5.3. Эгерде, көрсөтүлгөн милдеттенмелер аткарылбаган учурда, Улуттук банк тике репонун баштапкы/жыйынтыктоочу бөлүктөрүнүн акча каражаттарынын тиешелүү суммасынан 0,5% өлчөмүндө бир жолку айыптык төлөмдү Катышуучуга төлөп берет.
Кайтарым репо шартында:
4.5.4. Кайтарым репо аткарылган күнү репо-операцияларынын баштапкы бөлүгүн аткаруу үчүн “депо” эсебинде жетиштүү сандагы тиешелүү мамлекеттик баалуу кагаздарга ээ болууга.
4.5.5. Эгерде, көрсөтүлгөн милдеттенмелер аткарылбаган учурда, Улуттук банк кайтарым репонун баштапкы/жыйынтыктоочу бөлүктөрүнүн акча каражаттарынын тиешелүү суммасынан 0,5% өлчөмүндө бир жолку айыптык төлөмдү Катышуучуга төлөп берет.
4.6. Айыптык төлөмдү чегерүү жана эсептен алып салуу АТС аркылуу ишке ашырылат.
5. ТАРАПТАРДЫН ЖООПКЕРЧИЛИКТЕРИ
5.1. Тараптар ушул Келишимге жана Жобого ылайык, репо-операциялары боюнча өз милдеттенмелери үчүн толук жоопкерчилик тартышат.
5.2. Репо-операциялар боюнча өз милдеттенмелерин аткара албай калган учурда, бир Тарап экинчи Тарапка репо-операцияларынын тиешелүү суммасынан 0,5% өлчөмүндө бир жолку айыптык төлөмдү төлөйт.
5.3. Катышуучулар АТСке төмөнкүлөрдү жүзөгө ашырууга укук берет:
· сатуучунун “депо” эсебинен сатып алуучунун “депо” эсебине мамлеттик баалуу кагаздарды которууга;
· мамлекеттик баалуу кагаздарды сатып алуучунун тиешелүү эсебинен баалуу кагаздарды сатуучунун тиешелүү эсебине акча каражаттарын которууга.
5.4. Улуттук банк Катышуучу тарабынан ушул Келишим жана Жобонун талаптарын бузууга жол берүүнүн кесепетинен ага келтирилген зыян үчүн жоопкерчилик тартпайт.
5.5. Улуттук банк жана Катышуучу ушул Келишим жана Жобонун талаптарына ылайык, репо-операцияларынын ишке ашырылышына байланыштуу, алардын жоопкерчиликтүү адамдары жана кызматкерлери тарабынан аткарылган иштердин тууралыгы өз учурунда ишке ашырылгандыгы жана купуялуулугунун сакталышы үчүн толук жоопкерчилик тартат.
5.6. Улуттук банк АТСте техникалык үзгүлтүктөр келип чыккан шартта, репо-операцияларын токтотууга/алып салууга укуктуу. Эгерде, техникалык үзгүлтүк кыска мөөнөттүк мүнөзгө ээ болсо, Улуттук банк репо-операцияларын жүргүзүү убакыт аралыгын өзгөртүүгө жана жыйынтыгын жарыялоого укуктуу.
6. ФОРС-МАЖОР
6.1. Эгерде, ушул келишим боюнча милдеттенмелер күтүүсүз жагдайлардан улам, мисалы: табигый жана техногендик кырсыктардан, бөөдө кырсыктардан, аскердик жаңжалдардан, элдик толкундоолордон, мыйзам чыгаруу жана аткаруу бийлик органдары тарабынан кабыл алынган ченемдик укуктук актылардан жана ушул милдеттенмелердин аткарылышына бөгөт койгон башка жагдайлардан улам, толук же жарым жартылай аткарылбай калгандыгы үчүн жоопкерчиликтен бошотулушат. Албетте, жогоруда көрсөтүлгөн жагдайлар күтүүсүз, болжолдоого болбогон жана кайта жалгыз мүнөзгө ээ болуп, ушул келишим түзүлгөндөн кийин тараптардын эркинен көз карандысыз келип чыккан шартта.
6.2. Тараптар болжолдоого болбогон жагдайлар келип чыккан шартта, 2 (эки) жумуш күнү ичинде бул тууралуу бири-бирине кат жүзүндө маалымдоого тийиш. Анда түптөлгөн жагдайдын мүнөзү ага мүмкүн болушунча берилген баа жана ушул келишим боюнча милдеттенмелерди аткарууга анын тийгизиши мүмкүн болгон таасири жана милдеттенмелерди аткаруу мөөнөттөрү камтылууга тийиш.
6.3. Форс-мажордук жагдайлар келип чыккан шартта, ушул Келишим боюнча тараптардын милдеттенмелерди аткаруу мөөнөтү, ошол жагдайларга шайкеш убакытка жылдырылышы мүмкүн.
6.4. Эгерде, форс-мажордук жагдай жана анын кесепеттери 7 (жети) календардык күндөн көбүрөөк убакытка узарып кетсе, тараптар ушул келишимди аткаруунун жана тиешелүү макулдашууга жетишүүнүн алгылыктуу ыкмаларын аныктоо максатында, кыска мөөнөт ичинде сүйлөшүүлөрдү жүргүзүүгө тийиш.
6.5. Форс-мажордук жагдайлардын келип чыгышы тараптардын ошол жагдайлар келип чыккан учурга карата ишке ашырылган жана ишке ашырылып жаткан репо-операциялар боюнча милдеттенмелерден бошотпойт.
6.6. Катышуучунун контрагенттери тарабынан милдеттердин бузулушу, Катышуучуда зарыл акча каражаттарынын жоктугу форс-мажордук жагдайларга кирбейт.
6.7. Өзгөчө таасири этүүчү жагдайлардын орун алгандыгы тууралуу билдирбөө же өз учурунда билдирбей коюу, мындай жагдайларга таянуу укугун жоготууга алып келет.
7. ТАЛАШ МАСЕЛЛЕРДИ ЧЕЧҮҮ
7.1. Ушул Келишимдин Талаптарын аткаруу процессинде келип чыккан талаш маселелер, өз ара алгылыктуу чечимдерди кабыл алуу максатында, тараптар ортосунда сүйлөшүүлөрдү жүргүзүү аркылуу жөнгө салынууга тийиш.
7.2. Эгерде, сүйлөшүүлөр жолу менен макулдашууга жетишилбесе, Тараптар ортосундагы талаш маселе Кыргыз Республикасынын мыйзамдарына ылайык жөнгө салынат.
8. ЖАНА БАШКА ШАРТТАР
8.1. Ушул Келишимге Тараптардын өз ара макулдашуулары боюнча өзгөртүүлөр жана/же толуктоолор киргизилиш мүмкүн.
8.2. Ушул Келишимге карата бардык өзгөртүүлөр жана толуктоолор жазуу жүзүндө ишке ашырылып, эки Тарап тең кол койгон шартта анык болуп саналат.
8.3. Тараптар кайра өзгөртүп түзүлгөн шартта, алардын ушул Келишим боюнча бардык укуктары жана милдеттери Тараптардын укугу өткөндөргө өтөт.
8.4. Келишим, Тараптардын ар бири үчүн мамлекеттик жана расмий тилде, бирдей юридикалык күчкө ээ 2 (эки) анык нускада түзүлгөн, Келишимдин эки нускасы Улуттук банкта сакталат, ал эми башка 2 (эки) нускасы Катышуучуга берилет.
9. КЕЛИШИМДИ КОЛДОНУУ МӨӨНӨТҮ ЖАНА ТОКТОТУУ ТАРТИБИ
9.1. Келишим эки Тарап тең ага кол койгон учурдан тартып күчүнө кирет. Ушул Келишимдин шарттары ал күчүнө кирген учурдан тартып, репо-операцияларына гана таркатылат.
9.2. Улуттук банк менен келишилген бардык репо-операциялары ушул келишим күчүнө киргенге чейин түзүлгөн учурда колдонулуп жаткан шарттарда ишке ашырылат.
9.3. Келишим 1 (бир) календардык жыл аралыгында колдонулат жана Тараптардын бири келишимдин аракеттенүү мөөнөтү бүткөнгө чейинки 7 (жети) календардык күн мурда аны токтотуу жөнүндө кат жүзүндө билдирбесе, ар бир кийинки календардык жылга узартылган катары эсептелинет.
9.4. Тараптар бул келишимди 7 (жети) календардык күн мурда, бирок репо-операциялары боюнча эсептешүүлөр аяктаганга чейин экинчи тарапка алдын ала маалымдоо менен бир тараптуу негизде токтотууга укуктуу.
9.5. Улуттук банк Катышуучуга алдын ала маалымдоосуз эле төмөнкү учурларда бул келишимди бир тараптуу негизде токтотууга укуктуу:
§ Катышуучу ушул Келишимдин жана/же Жобонун шарттарын бузууга жол берсе;
§ Катышуучуга карата Банкка Кыргыз Республикасынын «Банктарды консервациялоо, жоюу жана банкроттоо» мыйзамында каралган процесстер жана жол-жоболор колдонулган болсо; банкка Улуттук банк тарабынан дайындалган убактылуу жетекчилик киргизилсе;
§ Банктык операцияларды жүргүзүү укугуна Улуттук банк тарабынан берилген лицензия Катышуучудан кайтарылып алынса;
§ Кыргыз Республикасынын ыйгарым укуктуу органдары тарабынан Катышуучу банкрот деп жарыяланса;
§ Кыргыз Республикасынын колдонуудагы мыйзамдарына ылайык, юридикалык жак катары Катышуучунун иши токтотулса;
§ ушул Келишимдин шарттарын кайра карап чыгуу үчүн негиз болуп саналган, репо-операцияларын жүргүзүү тартибин аныктаган ченемдик укуктук документтерге белгиленген тартипте өзгөртүүлөр киргизилген учурда.
10. ТАРАПТАРДЫН ЮРИДИКАЛЫК ДАРЕКТЕРИ ЖАНА РЕКВИЗИТТЕРИ
Кыргыз Республикасынын Катышуучунун аталышы
Улуттук банкы
|
___________________________________ (почта индекси, дареги) ___________________________________ (кызматы) ___________________________________ (Аты-жөнү) ___________________________________ (кол тамасы) |
___________________________________ (почта индекси, дареги) ___________________________________ (кызматы) ___________________________________ (Аты-жөнү) ___________________________________ (кол тамасы) |
|
|
|
Кыргыз Республикасынын Улуттук банкынын
Кыргыз Республикасынын мамлекеттик баалуу
кагаздары менен репо - операцияларын жүргүзүү
тартиби жөнүндө жобого карата 2-тиркеме
2013-жылдын «__»__________ №____
Репо-операциялар шартында мамлекеттик баалуу кагаздардын баасын эсептөө тартиби
1. Тике репо учурунда дисконттуу баалуу кагаздар үчүн:
df - тиешелүү мөөнөт үчүн Улуттук банк тарабынан белгиленген, репо-операциялары ишке ашырылган күндөн баалуу кагаздардын ордун жабуу күнүнө чейинки алган дисконттоонун катталган чени;
r - репо-операциялар боюнча пайыздык чен;
dr - репо-операциялар боюнча дисконттоо чени;
N - мамлекеттик баалуу кагаздардын номиналдык наркы ;
Р2 - репо-операцияларды аяктоо күнүнө карата 1 мамлекеттик баалуу кагаздын баасы;
Р - репо-операцияларын ишке ашыруу күнүнө карата 1 мамлекеттик баалуу кагазды сатып алуу баасы;
tm - репо-операциясын аяктоо күнүнө баалуу кагаздардын ордун жабуу күнүнө чейинки мөөнөт (күндөр менен);
t - репо-операциясынын мөөнөтү.
1. Репо-операциялары боюнча дисконттоо чени dr төмөнкү формула боюнча эсептелинет:
r
dr = ------
1-r
2. Репо-операцияларын аяктоо баасы Р2 төмөнкү формула боюнча эсептелинет:
N
P2 = ---------------------------
df*tm
1+ ---------------
360*100
3. 1 мамлекеттик баалуу кагазды баштапкы сатып алуу баасы Р төмөнкү формула боюнча эсептелинет:
P2
P = ---------------------------
dr*t
1+ --------------
360 *100
2. Кайтарым репо учурунда купондук мамлекеттик баалуу кагаздар үчүн
1 мамлекеттик баалуу кагазды сатуу баасы Р төмөнкү формула боюнча эсептелинет:
N – мамлекеттик баалуу кагаздын номиналдык наркы;
- жылдык купондук чен;
r – мамлекеттик баалуу кагаздын кирешелүүлүгү;
жыл ичинде купондук төлөөлөрдүн саны;
Tv – валюталоо күнү;
n – төлөөгө чейинки мезгилдин (төлөөлөрдүн) саны;
Cn – кийинки купонду төлөө күнү;
i- 0 - n чейинки маани
Репо-операциясын сатуу баасы Р2 төмөнкү формула боюнча эсептелинет:
Р – репо-операциялар калтырылган күнгө карата 1 мамлеттик баалуу кагаздардын баасы;
Р2 - репо-операциялар аяктаган күнгө карата 1 мамлекеттик баалуу кагаздардын баасы;
r - репо-операциялык боюнча пайыздык чен;
t - репо-операциясынын мөөнөтү
Р * r * t
Р2= --------------- + Р
360
3. Кайтарым репо шарты учурунда дисконттук мамлекеттик баалуу кагаздар үчүн
1 мамлекеттик баалуу кагаздардын сатуу баасы төмөнкү формула боюнча эсептелинет:
N - мамлекеттик баалуу кагаздардын номиналдык наркы;
r - мамлекеттик баалуу кагаздардын кирешелүүлүгү;
t - сатуу күнүнө карата мамлекеттик баалуу кагаздардын ордун жабууга чейин калган мөөнөт.
N
P = --------------------------
r*t
1+ -------------
360*100
Репо - операциясын аяктоо Р2 төмөнкү формула боюнча эсептелинет:
Р – репо-операциялар калтырылган күнгө карата 1 мамлекеттик баалуу кагаздардын баасы;
Р2 - репо-операциялар аяктаган күнгө карата 1 мамлекеттик баалуу кагаздардын баасы;
r - репо-операциялык боюнча пайыздык чен;
t - репо-операциясынын мөөнөтү
Р * r * t
Р2= --------------- + Р
360
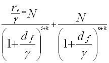
4. Тике репо учурунда купондук мамлекеттик баалу кагаздар үчүн
- репо-операцияларын аткаруу күнүнө карата 1 мамлекеттик баалуу кагаздын сатып алуу баасы;
- репо-операцияларын аяктоо күнүнө карата 1 мамлекеттик баалуу кагаздын сатып алуу баасы;
– мамлекеттик баалуу кагаздын номиналдык наркы;
- жылдык купондук чен;
- тиешелүү мөөнөт үчүн Улуттук банк тарабынан белгиленген, репо-операциялары ишке ашырылган күндөн баалуу кагаздардын ордун жабуу күнүнө чейинки алган дисконттоонун катталган чени;
- репо-операциялар боюнча дисконттоо чени;
- репо-операциялар боюнча пайыздык чен;
- жыл ичинде купондук төлөөлөрдүн саны;
n – төлөөгө чейин купондук төлөөлөрдүн саны;
Tv – репо-операцияларын аткаруу күнү (купонду төлөөлөр күнүнө дал келбөөгө тийиш);
Cn – кийинки купонду төлөө күнү;
Tm – репо-операцияларын аяктоо күнү;
;
1. Репо - операцияларынын аяктоо баасы P2 репо - операциялары аяктоо күнүнө карата төмөнкү формула боюнча эсептелинет:
;
мында:
2. 1 мамлекеттик баалуу кагазды баштапкы сатып алуу баасы P репо - операциялары аткаруу күнүнө карата төмөнкү формула боюнча эсептелинет:
эгерде Tv < Cn Tm
;
мында:
;
3. 1 мамлекеттик баалуу кагазды сатып алуу баасы P репо - операцияларын аткаруу күнүнө карата төмөнкү формула боюнча эсептелинет:
эгерде Tv < Tm < Cn
;
мында:
Эскертүү: формулаларда колдонулган эсептөөлөр үчүн база Улуттук банк тарабынан өзгөртүлүшү мүмкүн.







